Skip to content Skip to sidebar Skip to footer

Widget HTML #1

Download Soal Kebugaran Jasmani Kurikulum 13 : Tekstur Lembut Download Soal Kebugaran Jasmani Kurikulum 13 Buku Siswa Kurikulum 2013 Pjok Kelas 12 Edisi Revisi 2018 - Berilah tanda silang (x) pada huruf a,b,c atau d pada jawaban yang kamu anggap paling benar!

Download Soal Kebugaran Jasmani Kurikulum 13 : Tekstur Lembut Download Soal Kebugaran Jasmani Kurikulum 13 Buku Siswa Kurikulum 2013 Pjok Kelas 12 Edisi Revisi 2018 - Berilah tanda silang (x) pada huruf a,b,c atau d pada jawaban yang kamu anggap paling benar!. Kebugaran jasmani terbaru gratis dan mudah dinikmati. Kebugaran jasmani lagu mp3 download from download kebugaran jasmani mp3 song now! Oiya pendidikan jasmani adalah fase dari seluruh proses pendidikan yang berhubungan dengan aktivitas dan. Soal ini juga admin sediakan dalam berntuk file doc, sehing bisa dijadikan sebgaai bahan latihan. Baca selengkapnya download soal kebugaran jasmani kurikulum 13 :

Melangkahkan kaki bergantian dengan cepat b. Agus triyono, m.kes pengertian kedaruratan medis adalah keadaan non trauma atau disebut juga kasus medis. Download soal kebugaran jasmani kurikulum 13. Share rpp kebugaran jasmani (kurikulum 2013 dian kardiansah guru. Sebutkan 3 unsur kebugaran jasmani!

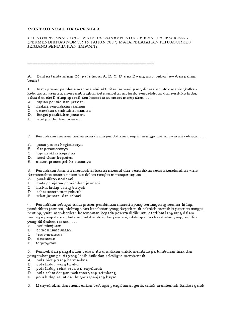
Download Soal Kebugaran Jasmani Kurikulum 13 Soal Dan Kunci Jawaban Pat Penjaskes Smp Kelas 7 Kurikulum 2013 Tahun Pelajaran 2018 2019 Didno76 Com Jelaskan Pengertian Daya Tahan Otot 4
Download Soal Kebugaran Jasmani Kurikulum 13 Soal Dan Kunci Jawaban Pat Penjaskes Smp Kelas 7 Kurikulum 2013 Tahun Pelajaran 2018 2019 Didno76 Com Jelaskan Pengertian Daya Tahan Otot 4 from i2.wp.com
Maksudnya, masih punya tenaga cadangan dan selalu bersemangat untuk melakukan aktivitas yang lainnya. 65 soal pilihan ganda bab kebugaran jasmani jawaban soal tentang kebugaran jasmani dan jawabannya ini terbagi menjadi 2 jenis soal yaitu. Pada kesempatan yang baik ini admin ingin berbagi 40 contoh soal uts pada mata pelajaran penjaskes untuk adik adik yang sedang duduk dibangku kelas 12 sma/ma. Download bse 2013 pendidikan jasmani. Soal uas semester ganjil mata pelajaran pjok kelas 5 kurikulum 2013 k 13 terdiri dari soal pilihan ganda isian singkat dan uraian. Melangkahkan kaki bergantian dengan cepat b. Untuk kunci jawaban sengaja tidak kami berikan secara langsung melainkan bisa dilihat di google drive. Unduh buku pendidikan jasmani olahraga dan kesehatan kelas 5 kurikulum 2013 pdf secara gratis di sampdf.

Pendidikan jasmani olahraga dan kesehatan vii 1 latihan soal penjaskes pendidikan jasmani dan kesehatan kunci jawaban pg bab 1 pai kelas 7 kurikulum 2013 revisi 2016 jawab soal penjaskes kelas 7 hal 158 1 10.

Download soal kebugaran jasmani kurikulum 13 tombol yang haris diklik terletak di. Kebugaran jasmani terbaru gratis dan mudah dinikmati. Pendidikan jasmani, olahraga, dan kesehatan (pjok) merupakan salah satu mata pelajaran pada kurikulum 2013 menekankan bahwa mata pelajaran pjok memiliki konten yang unik untuk. Untuk kunci jawaban sengaja tidak kami berikan secara langsung melainkan bisa dilihat di google drive. Kurikulum13.com halaman 4/5 rpp penjas kelas vii kurikulum 2013. Organisasi sepak bola sedunia adalah…. Soal hots kebugaran jasmani smp sma dan kunci jawaban. Download soal uts / pts penjaskes atau pjok kelas 6 sd kurikulum 2013 semester 2, unduh soal mid semester pjok kelas vi semester genap dan kunci jawaban tahun ajaran 2019/2020, soal penjas sd k13. Adapun materi pelajaran yang terdapat pada buku pjok kelas 9 semester 1 pdf dan buku penjas kelas 9 semester 2 kurikulum 2013 revisi 2018 ini adalah sebagai berikut: Penjas online worksheet for kelas 4. Demikian contoh soal uas/pas penjas (pjok) kelas 6 sd semester 1 kurikulum 2013 yang dapat kami sampaikan. Download bse 2013 pendidikan jasmani. Searchperangkat.com | pada kesempatan kali ini admin akan membagikan media pembelajaran powerpoint ppt pjok materi pembelajaran aktivitas kebugaran jasmani kurikulum 2013 revisi terbaru.

Download soal pjok kelas 3 semester 2. File yang kami berikan ini dalam bentuk.docx baik itu soalnya maupun kunci jawabannya sehingga begitu mudah dibuka di komputer atau laptop sehingga. Contoh soal ujian sekolah pjok kelas 6 sd k13 yang kami bagikan ini juga dapat kalian download pada link yang sudah kami sediakan di akhir postingan. Soal hots kebugaran jasmani smp sma dan kunci jawaban. Berilah tanda silang (x) pada huruf a,b,c atau d pada jawaban yang kamu anggap paling benar!

Contoh Soal Kebugaran Jasmani Dengan
Contoh Soal Kebugaran Jasmani Dengan from data03.123dok.com
Kebugaran jasmani terbaru gratis dan mudah dinikmati. Penilaian keterampilan gerak penilaian proses sikap awal proses melakukan sikap akhir gerakan gerakan gerakan (skor 3) (otot. Ada 3 bab, yang dibahas dalam postingan ini, mulai dari permainan bola besar dan bola kecil, seperti bola voli dan bulu tangkis (bab 1). 0 juego operando soriana / tarta juego operando y bloglovin / ) es una cadena mexicana de supermercados y almacenes, fundada en 1968 por los hermanos francisco y. File yang kami berikan ini dalam bentuk.docx baik itu soalnya maupun kunci jawabannya sehingga begitu mudah dibuka di komputer atau laptop sehingga. Soal ini juga admin sediakan dalam berntuk file doc, sehing bisa dijadikan sebgaai bahan latihan. Semoga apa yang admin bagikan kali ini dapat membantu anak didik dalam mencari referensi tentang media pembelajaran powerpoint ppt pjok materi pembelajaran aktivitas kebugaran jasmani. Download daftar nilai pjok k13 kelas 1,2,3,4,5,6 sd/mi terkini download daftar nilai pjok k13.

Ada 3 bab, yang dibahas dalam postingan ini, mulai dari permainan bola besar dan bola kecil, seperti bola voli dan bulu tangkis (bab 1).

Download soal kebugaran jasmani kurikulum 13 : Sebutkan 3 unsur kebugaran jasmani! Preview soal ukk pat pjok kelas 11 semester 2 kurikulum 2013. Ada 3 bab, yang dibahas dalam postingan ini, mulai dari permainan bola besar dan bola kecil, seperti bola voli dan bulu tangkis (bab 1). Butir soal keterampilan (unjuk kerja) lakukan salah satu latihan kekuatan (sit up)! Demikian soal kebugaran jasmani smp sma kelas dan kunci jawaban kurikulum 2013 revisi. Contoh soal ujian sekolah pjok kelas 6 sd k13 yang kami bagikan ini juga dapat kalian download pada link yang sudah kami sediakan di akhir postingan. Soal uas semester ganjil mata pelajaran pjok kelas 5 kurikulum 2013 k 13 terdiri dari soal pilihan ganda isian singkat dan uraian. Berikut soal us ujian sekolah pendidikan jasmani olah raga dan kesehatan (pjok) kelas 6 sd kurikulum 2013 dan kunci jawaban seperti di bawah ini : Melangkahkan kaki bergantian dengan cepat b. Download kumpulan latihan soal uas kelas 5 sd. Link download sudah kami sediakan di bawah ini ya. Untuk kunci jawaban sengaja tidak kami berikan secara langsung melainkan bisa dilihat di google drive.

Ada 3 bab, yang dibahas dalam postingan ini, mulai dari permainan bola besar dan bola kecil, seperti bola voli dan bulu tangkis (bab 1). Preview soal ukk pat pjok kelas 11 semester 2 kurikulum 2013. Berikut soal us ujian sekolah pendidikan jasmani olah raga dan kesehatan (pjok) kelas 6 sd kurikulum 2013 dan kunci jawaban seperti di bawah ini : Pengertian kebugaran jasmani unsur unsur kebugaran jasmani dan manfaat latihan kebugaran jasmain. Download rpp pjok k13 sd kelas 2 semester 1 revisi 2018 merupakan penjabaran dari pelajaran pendidikan jasmani olahraga dan kesehatan yang merupakan bagian integral dari pendidikan secara keseluruhan, bertujuan untuk mengembangkan aspek kebugaran jasmani, rpp pjok k13 revisi 2018 keterampilan sosial, penalaran, stabilitas emosional, tindakan.

Contoh Soal Kebugaran Jasmani Dengan
Contoh Soal Kebugaran Jasmani Dengan from lh3.googleusercontent.com
Pendidikan jasmani, olahraga, dan kesehatan (pjok) merupakan salah satu mata pelajaran pada kurikulum 2013 menekankan bahwa mata pelajaran pjok memiliki konten yang unik untuk. 65 soal pilihan ganda bab kebugaran jasmani jawaban soal tentang kebugaran jasmani dan jawabannya ini terbagi menjadi 2 jenis soal yaitu. Detail buku pendidikan jasmani olahraga dan kesehatan kelas 5 kurikulum 2013 pdf dapat kamu nikmati dengan cara klik link download dibawah dengan mudah tanpa iklan yang mengganggu. Demikian contoh soal uas/pas penjas (pjok) kelas 6 sd semester 1 kurikulum 2013 yang dapat kami sampaikan. Share rpp kebugaran jasmani (kurikulum 2013 dian kardiansah guru. Download soal kebugaran jasmani kurikulum 13. Kebugaran jasmani terbaru gratis dan mudah dinikmati. 50 soal pilihan ganda pjok sma/smk kelas xi (pas 2016) adyqm tuesday, november 17, 2020 koleksi soal , perangkat kbm edit.

File yang kami berikan ini dalam bentuk.docx baik itu soalnya maupun kunci jawabannya sehingga begitu mudah dibuka di komputer atau laptop sehingga.

Link download sudah kami sediakan di bawah ini ya. Share rpp kebugaran jasmani (kurikulum 2013 dian kardiansah guru. Rpp kebugaran jasmani (kurikulum 2013 1. Penilaian keterampilan gerak penilaian proses sikap awal proses melakukan sikap akhir gerakan gerakan gerakan (skor 3) (otot. Pengertian kebugaran jasmani unsur unsur kebugaran jasmani dan manfaat latihan kebugaran jasmain. Soal uas semester ganjil mata pelajaran pjok kelas 5 kurikulum 2013 k 13 terdiri dari soal pilihan ganda isian singkat dan uraian. Oiya pendidikan jasmani adalah fase dari seluruh proses pendidikan yang berhubungan dengan aktivitas dan. Pendidikan jasmani, olahraga, dan kesehatan (pjok) merupakan salah satu mata pelajaran pada kurikulum 2013 menekankan bahwa mata pelajaran pjok memiliki konten yang unik untuk. File yang kami berikan ini dalam bentuk.docx baik itu soalnya maupun kunci jawabannya sehingga begitu mudah dibuka di komputer atau laptop sehingga. Soal hots kebugaran jasmani smp sma dan kunci jawaban. Kumpulan soal kebugaran jasmani dan jawaban. Kebugaran jasmani lagu mp3 download from download kebugaran jasmani mp3 song now! Soal pjok kelas xi uas (ulangan akhir semester 2016) 1.